Anbieter zum Thema
Verluste in Speicherinduktivitäten
Die Verluste einer Speicherdrossel setzen sich zusammen aus Kernmaterialverlusten und Wicklungsverlusten. Die Wicklungsverluste lassen sich unterteilen in Gleichstromverluste und Wechselstromverluste. Erstere werden maßgeblich beeinflusst durch den Gleichstromwiderstand (RDC) der Wicklung:
P = I2 * RDC
Dazu kommen die Wechselstromverluste (RAC) der Wicklung, die sich durch den Skin- und Proximity-Effekt ergeben. Es gibt einige Methoden zur Ermittlung der AC-Verluste der Wicklung - so zum Beispiel die Dowell-, Ferreira- oder Nan/Sullivan-Methode.

Die Steinmetz-Modelle und ihre Nachteile
In Schaltreglern ist die Spule eines der wichtigsten Bauelemente. Deshalb ist die genaue Ermittlung der Verluste und Erwärmung ein kritischer Schritt bei der Auswahl des richtigen Bauelements. Um die Erwärmung vorhersagen zu können, müssen erst die AC-Verluste exakt ermittelt werden.
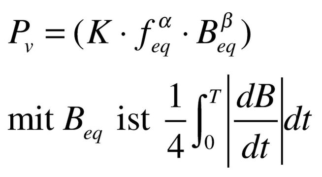
Historisch betrachtet wurden Kernverluste mit dem Steinmetz-Modell (1), und später mit dem modifizierten Steinmetz-Modell (2) oder dem generalisierten Steinmetz-Modell (3) ermittelt:
Wobei Pv die Kernverluste pro Volumeneinheit sind, f für die Schaltfrequenz steht und Bpk für die magnetische sinusförmige Aussteuerung. feq ist die äquivalente Frequenz, die sich bei einem abweichenden Tastverhältnis einer nicht-sinusförmigen Aussteuerung ergibt. K, α und β sind die Konstanten des Kernmaterials, die durch aufwändige Messungen mit einem Ringkern ermittelt wurden.
Der wesentliche Nachteil der Steinmetzgleichung besteht darin, dass sie primär für sinusförmige Anregungen gilt. In den meisten Anwendungen der Leistungselektronik ist der Spulenstrom aber nicht-sinusförmig. Und die Ströme sind Großsignale von einigen mA bis zu Hunderten von Ampére.
Es gibt auch andere Modelle, die das Problem nicht-sinusförmiger Wellenformen durch die Trennung von Hysterese- und Wirbelstromverlusten zu lösen versuchen. Dort hat sich die empirische Steinmetzgleichung als nützliche Variante erwiesen und bietet für sinusförmige Ströme eine hohe Genauigkeit. Allerdings arbeiten die verschiedenen Steinmetzmodelle nur bei einem Tastverhältnis von 50 Prozent und in einem beschränkten Frequenzbereich optimal.
Zudem ist wegen der hohen Komplexität bei der Ermittlung der magnetischen Weglänge die Ermittlung der Kernverluste mit Hilfe bestehender Modelle für Eisenpulver und Eisenpulverlegierungen nicht nur anspruchsvoll, sondern die Genauigkeit ist auch starken Schwankungen unterworfen. Und bei Induktivitäten, die aus mehreren verschiedenen Kernmaterialien bestehen, ist eine Schätzung der Verluste nicht oder nur sehr aufwendig möglich.
Das Würth-Elektronik-Modell ermittelt die realen AC-Verluste
Würth Elektronik eiSos hat ein hochmodernes Modell entwickelt, um die kompletten AC-Verluste in Induktivitäten präzise ermitteln zu können. Dieses Modell basiert auf den empirischen Daten, die mit einem Echtzeitanwendungsaufbau gewonnen werden. Hierbei werden die Gesamtverluste der Induktivität in Wechselstrom- und Gleichstromverluste unterteilt.
Empirische Daten werden mit einem DC/DC-Wandler erfasst. An die Induktivität wird eine pulsierende Spannung angelegt, wobei die Eingangsleistung Pin und die Ausgangsleistung Pout gemessen werden. Auf dieser Basis wird Pioss=Pin-Pout ermittelt und die Wechselstromverluste der Spule PAC werden separiert.
Dieser Vorgang wird für unterschiedlichste Parametereinstellungen – beispielsweise Schwankungen der magnetischen Aussteuerung, Schaltfrequenz, Rippelstrom und Ähnliches – gemessen und diese empirischen Daten werden aufgezeichnet. Mit Hilfe dieser empirischen Daten wird das Modell zur Berechnung der AC-Verluste erstellt:
(ID:43243607)


