Anbieter zum Thema
Transmissions- und Kopllungswiderstände für unterschiedliche Schirmung
Die dabei erhaltenen Frequenzverläufe der Transmissionsfaktoren bzw. des daraus ermittelten Kopplungswiderstandes sind in den Bildern 5 und 6 dargestellt.

Die metallischen Federelemente (1) und (2) zeigen nahezu identische Verläufe. Im unteren Frequenzbereich sehen wir gleichbleibende Kopplungswiderstände von unter 1 mOhm bis ca. 10 MHz. Danach zeigen die Kurven einen Anstieg von etwa 20 dB/Dekade. Dies deutet auf eine induktives Verhalten der Federkontakte hin.
Die Machart der beiden untersuchten leitenden O-Ringe (3) und (4) unterscheidet sich sowohl in ihrer Größe (Durchmesser 7 mm bei (3) und 12 mm bei (4)) als auch in der Art des Füllstoffes (Nickel bei (3) und Silber bei (4)). Die Charakteristik der Frequenzverläufe ist ähnlich, jedoch sind die Beträge der Kopplungswiderstände beim Ag-Typ (12 mm) etwa um den Faktor 10 gegenüber dem Ni-Typen (7 mm) besser. Interessant ist die deutliche Abnahme des Kopplungswiderstandes hin zu höheren Frequenzen jenseits 100 MHz.
Die Gruppe der Durchführungskondensatoren (5) bis (8) zeigt das zu erwartende Verhalten. Man erkennt abnehmende Kopplungswiderstände bei steigenden Frequenzen. Der jeweilige Betrag der Widerstände hängt von der Kapazität der Kondensatoren ab. Abweichungen vom idealen Verhalten eines Kondensators sind sehr gut feststellbar. Bemerkenswert ist die Ausprägung von Resonanzen, die sich in ihren charakteristischen Verläufen jeweils unterscheiden und von der Güte des jeweiligen Durchführungskondensators abhängen.
Schirmdämpfung aus Kopplungswiderstand ermitteln
Im Allgemeinen herrscht im Markt die Tendenz vor, die Schirmeigenschaften von elektrischen und elektronischen Bauelementen und Geräten mit dem Begriff der Schirmdämpfung zu beschreiben. Eine Dämpfung ist im technischen Sinne ein Vergleich zweier Signalpegel am Eingang und am Ausgang eines Übertragungssystems mit zwei Toren. Die Betriebsdämpfung eines Zweitores aber ist abhängig von den Impedanzen der Quelle und der Last. Für unseren Fall bedeutet das: Wir erhalten unterschiedlich starke Verkopplungen zwischen den Systemen, wenn die Impedanzen der beteiligten Systeme sich ändern.
Unsere Schirmungsmaßnahmen können aber nun in unterschiedlichen Systemen mit unterschiedlichen Impedanzen zum Einsatz kommen. Es scheint deshalb unmöglich, eine allgemeine Schirmdämpfung für die betreffende Schirmungsmaßnahme zu spezifizieren.
Um diesem Dilemma zu entgehen, hat man sich darauf geeinigt, die Schirmdämpfung auf normierte Impedanzen zu beziehen. Für das äußere System wird allgemein eine Impedanz von 150 Ohm gewählt.
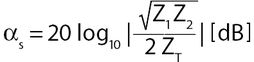
Der Kopplungswiderstand ermöglicht nun die Berechnung der Schirmdämpfung αs mit Hilfe der normierten inneren und äußeren Impedanzen Z1 und Z2 nach Gleichung 2 (i.a.: Z1 = 50 Ohm und Z2 = 150 Ohm).

Gl. 2
Das vorliegende Messverfahren wurde von Rosenberger Hochfrequenztechnik in Zusammenarbeit mit der bedea Berkenhoff & Drebes entwickelt und ist genormt als IEC 62153-4-10: Metallic communication cable test methods - Part 4-10: Electromagnetic Compatibility (EMC) - Shielded screening attenuation test method for measuring the screening effectiveness of feed-throughs and electromagnetic gaskets. Double coaxial method.
*Thomas Schmid ist als Entwicklungsingenieur bei Rosenberger Hochfrequenztechnik GmbH & Co. in Tittmoning tätig.
(ID:336928)