Anbieter zum Thema
Beispiel Schirmwirkung einer Kontaktfeder

In der schematischen Darstellung in Bild 3 erkennt man die Anordnung von Schirmwand und Prüfling innerhalb des doppelt koaxialen Messsystems am Beispiel der Messung der Schirmwirkung einer Kontaktfeder. Diese Kontaktfeder ist auf einem Steckergehäuse aufgebracht und stellt eine elektrisch leitende Verbindung zur Schirmwand her.
Das Steckergehäuse wird durch federnd gelagerte Innenleiter kontaktiert. Dies ermöglicht den Ausgleich der Toleranzen innerhalb der Anordnung. Andere Schirmungsmaßnahmen können einen modifizierten Aufbau erfordern, wobei aber das prinzipielle Verfahren erhalten bleibt. Die linke Seite der Messanordnung repräsentiert das sogenannte innere System, d.h. das Innere der elektronischen Schaltung, während die rechte Seite das äußere System, also die Umgebung der Schaltung oder des Gerätes, abbildet.
Kopplungswiderstand entscheidet über Schirmungseigenschaften

Im Ersatzschaltbild (Bild 4) kann der Einfluss der Durchführung oder der Dichtung als Querleitwert bzw. als Kopplungswiderstand (Transferimpedanz ZT) dargestellt werden. Im Idealfall, d.h. bei optimaler Schirmwirkung, beträgt der Wert des Kopplungswiderstandes null, so dass in den rechten Kreis keine Überkopplung stattfindet.
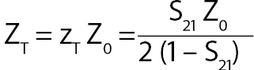
Die mit dem Netzwerkanalysator ermittelten S-Parameter der Messanordnung dienen zur Berechnung des Kopplungswiderstandes ZT. Dies geschieht unter Berücksichtigung der Impedanz des Messsystems Z0 gemäß Gleichung 1.

Gl. 1

In Bild 5 sind einige Messergebnisse für unterschiedliche Schirmungsmaßnahmen dargestellt. Hierbei wurden unterschiedliche Kontaktfedern, leitende O-Ringe sowie Durchführungskondensatoren untersucht. Die verschiedenen Prüflinge wurden in entsprechend vorbereitete Aufnahmen zur Kontaktierung innerhalb der Messfassung eingebracht und anschließend die Transmissionsfaktoren (Streuparameter S21) mit dem Netzwerkanalysator aufgezeichnet.
(ID:336928)