Anbieter zum Thema
Der Crest-Faktor und die Genauigkeitsangaben
In der Leistungsmessung sind nach wie vor Effektivwerte sehr wichtige Messgrößen. Das spricht für eine Effektivwert-Messbereichseinstellung. Zusätzlich benötigt der Anwender die Information, welche Spitzenwerte zulässig sind. Das wird von Yokogawa durch den CF des Eingangs spezifiziert. Die Angabe eines festen Crest-Faktors (je nach Einstellung entweder 3 oder 6) für alle Strom- und Spannungsmessbereiche sprechen für das Hardware-Design.
Umständlich ist das Handling bei Leistungsmessgeräten, bei denen der CF für jeden Messbereich unterschiedlich ist. Dort muss der Anwender die jeweilige Aussteuerungsgrenze für jeden Messbereich aus einer Messbereichstabelle entnehmen. Bei Geräten, die Messbereiche grundsätzlich nur über Spitzenwerte definieren, ist der CF des Einganges nach Yokogawa-Spezifikation 1.
Warum ist diese Thematik zum CF in Zusammenhang mit Messunsicherheitsbetrachtungen so wichtig? Es gibt Leistungsmessgeräte mit Effektivwert-Messbereichen, die aber für die Fehlerberechnung Spitzenwert-Messbereiche heranziehen. Auch gibt es Power Meter, die sowohl für die Einstellung am Gerät und für die Fehlerberechnung Spitzenwert-Messbereiche benutzen. Beide sind unpraktisch, da Messungen und Genauigkeitsberechnungen von Effektivwerten im Vordergrund stehen.
Wenn die Genauigkeitsangaben auf die Spitzenwerte bezogen werden, wirken die Prozentangaben zunächst überzeugend. Bezieht man die Prozentangaben auf Effektivwert-Messbereiche von Strom oder Spannung, so werden bei einem CF = 3 aus 0,1 Prozent plötzlich 0,3 Prozent.
Ein Wert von 0,1 Prozent vom Spitzenwert-Messbereich entsprechen 0,3 Prozent vom Effektivwert-Messbereich bei CF = 3. Für die Wirkleistung als Produkt aus Strom und Spannung (und Leistungsfaktor) verstärkt sich dieser Effekt drastisch. Beim vorgenannten CF = 3 sowohl für Strom als auch für Spannung liegen die für die Genauigkeitsbetrachtung relevanten Leistungsmessbereiche um Faktor 9 auseinander. Aus einer Messunsicherheit von 0,1 werden 0,9 Prozent.
Yokogawa verwendet sowohl für die Messbereichseinstellung als auch für die Toleranzberechnung grundsätzlich die Effektivwert-Messbereiche. Das ist praktisch und hat sich bewährt. Häufig sind dem Anwender weder die Effektiv- noch die Spitzenwerte der zu messenden Signale bekannt. Bei Einsatz der Auto-Range-Funktion werden die Spitzen- sowie Effektivwerte überwacht, um die Strom- und Spannungsmessbereiche automatisch und optimal einzustellen.
Allgemeines zur Leistungsmessung und Yokogawa im Besonderen

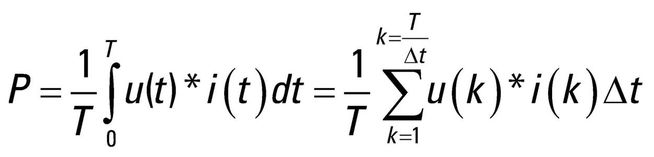
Moderne, digitale Leistungsmessgeräte tasten die zu messenden Signale diskret ab. Zur Ermittlung der elektrischen Wirkleistung werden zunächst die Abtastwertepaare von Spannung und Strom miteinander multipliziert. Um ein präzises Ergebnis der Wirkleistung sicherzustellen, ist der korrekte zeitliche Bezug zwischen Strom- und Spannungssample äußerst wichtig. Diese Augenblickswerte der Leistung werden anschließend innerhalb des definierten Messintervalls integriert und ergeben dann die elektrische Wirkleistung in analoger oder digitaler Betrachtung: 
Vor allem bei kleinen Leistungsfaktoren und/oder hohen Frequenzen ist die synchrone Abtastung von Strom und Spannung enorm wichtig. Jedes Power Meter weist systembedingt einen Phasenfehler auf, der keinesfalls unberücksichtigt bleiben darf. Das sei anhand der einfachen Wirkleistungsformel für rein sinusförmige Signalverläufe dargestellt
P = (Ueff) * (Ieff) * cos (ϕ ± δ), δ stellt hier den Phasenfehler dar. Bevor u(t) und i(t) in den AD-Wandler eingespeist werden, müssen sie die analogen Eingangsschaltungen passieren. Zwei analoge Eingangsschaltungen sind allerdings nie zu 100 Prozent identisch. Schon minimale Laufzeitunterschiede wirken sich aus, wenn präzise Leistungsmessungen gefordert werden. Eine besondere Herausforderung ist die Strommessung. Ein Strom-Shunt ist ein relativ großes Bauelement, das bauteilbedingt eine geringe Induktivität (wenige nH) und parasitäre Kapazitäten aufweist. Dies verursacht eine sehr kleine, zusätzliche Phasenverschiebung somit erfährt der Strom i(t) eine zusätzliche, zeitliche Verzögerung. Auch der Übergang in die digitale Welt erfordert ein perfektes Hardware-Design. Digitalsignale haben keine unendliche Flankensteilheit. Wenn sich Temperatureinflüsse auf Schwellwerte von A/D-Wandlern auswirken, führt das ebenfalls zu einer Veränderung des zeitlichen Bezugs. Alle Einflüsse sind im Phasenfehler δ[°] enthalten.
Das hat zwar keine Auswirkung auf Ueff, Ieff und Scheinleistung S, jedoch auf die Messung der Wirkleistung P und somit auf den Leistungsfaktor λ. Bei λ = 0,1 bewirkt ein Phasenfehler von 0,1° (das sind bei 500 Hz 556 ns) einen zusätzlichen Wirkleistungsfehler von 1,6 Prozent. Die unerwünschte Phasenverschiebung muss bei jedem Präzisions-Leistungsmessgerät spezifiziert sein. In der heutigen Zeit sind fast alle in der Industrie und auch im privaten Bereich auftretenden Signale weit von einem idealen Sinus entfernt, enthalten hohe Frequenzanteile und weisen Betriebszustände mit kleinen Leistungsfaktoren auf. Vergleichsmessungen unter diesen Bedingungen unterstreichen die Qualität der Yokogawa Messinstrumente. Yokogawa betrachtet alle möglichen Randbedingungen, die zu einem Phasenwinkelfehler bzw. Messfehler führen können und berücksichtigt diese in den Spezifikationen (Bild 1).
(ID:42537569)