Dynamisches Verhalten von elektronischen Schaltern Analogschalter in der Praxis - Teil 2
Analogschalter gibt es in zahlreichen Ausführungen. Wir geben in einer dreiteiligen Artikelserie einen Überblick zum Aufbau und zu Leistungsmerkmalen. Ergänzt wird die Reihe durch einen Abriss zu speziellen Schaltern und Schaltungstechniken sowie Schutzmaßnahmen.
Anbieter zum Thema
Im ersten Teil dieser Serie wurde das statische Verhalten von integrierten Analogschaltern veranschaulicht. Nun zum dynamischen Verhalten (AC-Charakteristik) eines Analogschalters: Signalverzerrungen werden hauptsächlich durch parasitäre Kapazitäten innerhalb des Schaltkreises hervorgerufen. Externe Kapazitäten verstärken diese Effekte und werden z.B. auch durch das Leiterplatten-Layout verursacht. Daher sollte ein Analogschalter bei zeitkritischen Vorgängen nicht alleine betrachtet werden sondern das Gesamtsystem.
- Sperrdämpfung
Mit Zunahme der Signalfrequenz nimmt die Isolationsfähigkeit eines normalen Analogschalters mit ca. 20 dB pro Dekade ab. Die Ursache liegt in dessen Drain-Source-Kapazität, die den geschlossenen Schalter überbrückt und somit einen Hochpass mit der Last bildet. Welche Sperrdämpfung (Off-Isolation) für eine Schaltung noch akzeptabel ist, liegt in der Verantwortung des Entwicklers. Im Datenblatt findet sich ein Diagramm, in dem die in Off-Isolation über die Frequenz aufgetragen ist. Für Signalfrequenzen oberhalb von etwa 10 MHz werden spezielle Analogschalter mit besserer Sperrdämpfung angeboten, die sich im Aufbau von einem herkömmlichen Typen unterscheiden. Darauf wird im dritten Teil näher eingegangen.
- Frequenzgang
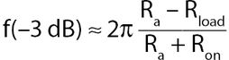
Ist der Analogschalter geschlossen, bildet dessen Durchlassdämpfung Ron mit seinen Streu- und Lastkapazitäten einen Tiefpass-Filter. Die Grenzfrequenz liegt bei unendlichem Lastwiderstand und idealer Spannungsquelle am Eingang gemäß Gleichung 5 etwa bei:

(Gl. 5)
Unglücklicherweise wird Cout des Bausteines größer, wenn man dessen Ron verkleinert. Bezieht man die Impedanz der Quelle und der Last mit ein, ergibt sich für die Ausgangsspannung nach Gleichung 6:

(Gl. 6)
mit Ra = Rsource + Ron
- Laufzeitverzögerung
Der Schalter verursacht eine Verzögerung, bis am Ausgang das Analogsignal zu- bzw. abgeschalten ist. Diese Zeit wird allgemein als Laufzeitverzögerung (Propagation delay) bzeichnet. Sie ist definiert als die Zeitdauer zwischen dem Durchschreiten von 50% des Steuersignalpegels bis zu dem Zeitpunkt, an dem das analoge Ausgangssignal 90% seines Sollwertes erreicht hat. Im Datenblatt sind diese Werte als ton und toff angegeben, meist auch noch die Testschaltung zum Ermitteln dieser Parameter.
- Einschwingzeit
Die Einschwingzeit (Settling-Time) ist die Zeit, die ein Signal benötigt, um am Ausgang einen Pegel innerhalb des erlaubten Fehlerbereichs zu erreichen. Der Fehlerbereich orientiert sich z.B. an der Auflösung eines nachfolgenden A/D-Wandlers. Die Einschwingzeit berechnet sich laut Gleichung 7:

und

(Gl. 7)
Die Einschwingzeit ist abhängig von der Laufzeitverzögerung, Ron, Rload, Cload, Cout und einem so genannten größten akzeptablen Fehler.
- Ladungsträger-Injektion
Nach einer Pegeländerung am digitalen Steuereingang findet am Gate der CMOS-Schalter ein großer Spannungsübergang statt. Dieser schnelle Schaltvorgang injiziert Ladungsträger über die Gate-Drain-Kapazität in den Signalpfad. Die übertragene Ladungsmenge hängt mit der Größe dieser Kapazität zusammen. Schalter mit niedrigem Ron weisen geometrisch größere FET-Strukturen auf; größere Strukturen erhöhen auch deren Kapazität und injizieren dadurch mehr Ladungsträger in den Ausgang.
Im Datenblatt ist die Ladungsträger-Injektion in der Tabelle der elektrischen Kennwerte angegeben. Dieser Wert gilt allerdings nur unter bestimmten Vorraussetzungen, meist bei einer Signalspannung von 0 V bei 25°C und definierter Lastkapazität am Ausgang. Für davon abweichende Bedingungen ist meist ein Diagramm angegeben, bei dem Ladungsträger-Injektion als Funktion der Eingangsspannung dargestellt ist.
Möchte man die Effekte dieser Ladungsträger-Injektion verringern, kann man dies auf verschiedene Arten tun. Eine Möglichkeit die Störeffekte auf das Signal zu minimieren ist, einen Schalter mit höherem Ron zu wählen. Denn aufgrund der kleineren Geometrie der MOSFETs verringern sich auch deren parasitären Kapazitäten.
Eine weitere Option könnte sein die Lastkapazität zu erhöhen. Da Q = C · U ist und Q als nicht veränderlich angesehen werden kann, ist eine Verringerung von U nur möglich, wenn C vergrößert wird. Dadurch wird allerdings die Bandbreite des Schalters verringert. Bei einigen Applikationen ist dies jedoch unkritisch.
Im dritten Teil dieser Serie diskutiert der Autor Schutzmaßnahmen und applikationsspezifische Analogschalter.
*Torsten Gerboth ist Applikationsingenieur bei Maxim in Planegg.
Artikelfiles und Artikellinks
Link: Analogschalter bei Maxim
Link: Erster Teil
(ID:352860)