Anbieter zum Thema
LO-Rauschen am Mischereingang

Damit steht die Frage an: Wie beeinflusst das Rauschen am Lokal_in des Mischers das Mischerausgangssignal? Der Mischer lässt sich im Detail darstellen durch zwei Eingänge, eine Mischstufe, einen Verstärker für Mischverluste bzw. -gewinn und einer Addition von Rauschen (Bild 2). Das „Noise“ am Blockausgang beschreibt das Rauschen des Mischers, wie es durch die erste Formel (Friis-Gleichung) berücksichtigt wird. Für die Betrachtung der LO-Rauschsignal-Ausbreitung wird ein ideales HF-Signal angenommen:
sRF(t) = ARF · sin(2πfRFt) (Gleichung: 3)
Für das LO-Signal gilt:
sLO(t) = (ALO + AnLO(t)) · sin(2π(fLO + fnLO(t))t + φnLO(t)) (Gleichung: 4)
Bei einem PLL erzeugten LO-Signal ist das dominierende Rauschen auf der Phase. Wobei Amplituden- und Frequenzrauschen untergeordnet sind. Im Falle eines direkt umsetzenden Empfängers gilt, bei vernachlässigbaren Frequenzfehler für die Signalträgerfrequenzen:
fRF = f‘LO(t) = f0 (Gleichung: 5)
So ergibt für φnLO(t) 0 = das Ausgangssignal im Falle eines idealen LO:
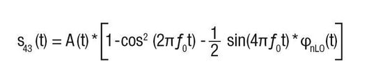
Im weiteren Verlauf wird für das verrauschte LO-Signal berücksichtigt, dass aus φnLO(t) << 1 folgt cos(φnLO(t)) und sin(φnLO(t)) ≈ φnLO(t).
Woraus sich das verrauschte LO-Signal ableiten lässt:

Wie im Vergleich zur Formel bei Annahme eines idealen LO zusehen ist, ist der Effektivwert des additiven Phasenrauschens:


Im statischen, eingeschwungenen Zustand ist das Phasenrauschen einer PLL ein zeitinvarianter Prozess. Für den Fall der Gleichverteilung ist der Einheitswert proportional dem Mittelwert. Um das Rauschen des LO als Gleichverteilung darzustellen, muss es über den Frequenzbereich integriert werden. Damit ist zu sehen, dass das PLL Phasenrauschen am Mischerausgang beschrieben wird durch:

(ID:339870)