Anbieter zum Thema
Verschiedene Mess-Systeme miteinander vergleichen
Bei Rauschzahlmessungen wird angenommen, dass sie mit einer Impedanz von 50 Ω bei einer bestimmten DC-Vorspannung gemessen worden sind. Auf diese Weise sind Messungen von verschiedenen Messsystemen vergleichbar. Allerdings lehrt die Theorie der Rauschparameter, dass sich die Rauschzahl eines Transistors oder Verstärkers mit der Quellimpedanz ändert.

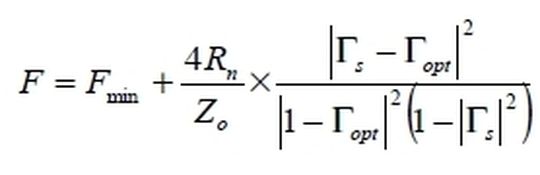
Die Rauschparametergleichung zeigt, dass die Rauschzahl bei einer bestimmten Quellimpedanz (Γopt) ein Minimum erreicht (Fmin) und dass die Rauschzahl bei jeder anderen Impedanz steigt.
Die Rauschparameter werden typischerweise mit einer Serienmessung ermittelt, bei der die Quellimpedanz variiert wird. Dazu wird eine Rauschquelle mit einstellbarer Ausgangsimpedanz (Tuner) verwendet, die für das Testobjekt die Eingangsimpedanz darstellt. Die Impedanzen werden so gewählt, dass ein möglichst großer Teil des Smith-Diagramms abgedeckt wird. Die ermittelten Rauschparameter werden auf einem Smith-Diagramm oft dargestellt als ein Punkt, der für Fmin steht und der umgeben ist von Kreisen konstanter Rauschzahl. Jeder Kreis steht für die gleiche Rauschzahl für alle Impedanzwerte auf der Kreislinie. Die Rauschparameter sind für jedes Transistor- und Verstärkerdesign unterschiedlich.
Rauschparameter haben einen direkten Einfluss auf die Genauigkeit der Rauschzahlmessung. Während das Testsystem, mit dem man die Rauschzahl misst, genau die vorgegebenen Impedanz von 50 Ω hat, beträgt die Quellimpedanz, die das Testobjekt sieht, nicht genau 50 Ω, und sie ändert sich mit der Frequenz. Im Ausmaß dieser Unvollkommenheit liegt der Hauptgrund für Messfehler bei der Messung der Rauschzahl. Sie wird verursacht sowohl durch die Fehlanpassung als auch durch den Einfluß der Rauschparameter.
Grenzen der Messgenauigkeit
Wenn die Rauschquelle direkt mit dem Eingang des Testobjekts verbunden ist, liefert die Y-Faktor-Methode eine gute Messgenauigkeit. Die Impedanzanpassung von handelsüblichen Rauschquellen ist gut, das verringert Messfehler. Wenn allerdings ein elektrisches Netzwerk zwischen Rauschquelle und Testobjekt geschaltet wird, können Fehlanpassung und Rauschparametereffekte die Messgenauigkeit erheblich beeinträchtigen. Es gibt verschiedene Situationen, die eine räumliche Trennung zwischen Rauschquelle und Testobjekt erfordern.
Eine solche Situation besteht beispielsweise dann, wenn Objekte auf einem Wafer durchgemessen werden sollen. In diesem Fall stellen Prüfspitzen den Kontakt zum Testobjekt her, es wäre praktisch unmöglich, die Rauschquelle mit ihrem Koaxialkabel direkt an den Transistor oder Verstärker auf dem Halbleiterwafer anzuschließen.
In der Praxis gibt die Baugröße oder Anordnung der Wafer-Teststation den minimalen Abstand zwischen Rauschquelle und Prüfspitze vor. Dabei ist die Kabellänge zwischen Rauschquelle und Messspitze so kurz wie möglich zu halten, um eine Verschlechterung der Messung durch Verluste und Fehlanpassung möglichst gering zu halten.
(ID:298032)