IGBTs im Rückwärtsbetrieb Warum das gute Zusammenspiel von IGBT und Diode wichtig ist
Schaltet ein IGBT aus, dann kommutiert der Laststrom auf die Freilaufdiode. Das erfordert eine optimale Abstimmung beider Halbleiter hinsichtlich ihrer elektrischen Eigenschaften.
Anbieter zum Thema

Elektronische Schaltungen werden für gewöhnlich so entworfen, dass kein IGBT in Rückwärtsrichtung betrieben werden muss. Allerdings gibt es Situationen im laufenden Betrieb, in denen dies doch der Fall ist. Betrachtet man Bild 1, so sieht man zwei über eine Lastinduktivität LL verschaltete Halbbrücken. Die Schalter T3 und T2 leiten, ein Strom iL fließt durch die Lastinduktivität. Betrachtet man nun den Zeitpunkt genauer, in welchem T2 gerade ausschaltet: der Strom iL beginnt von T2 auf die Freilaufdiode D1 zu kommutieren. Damit baut sich eine durch das Einschaltverhalten der Diode bedingte Spannung auf. Je nach anliegender Stromsteilheit di/dt kann diese Spannung kurzzeitig bis zu einigen hundert Volt betragen, man spricht in diesem Zusammenhang auch von der „Vorwärtserholzeit“ der Diode.
Gleichzeitig wird das Emitterpotential von T1 höher als das des Kollektors – der IGBT ist faktisch in Rückwärtsrichtung gepolt. Die Frage, die sich aus dieser Situation heraus stellt ist, ob Spannungshöhe und Zeitdauer der Vorwärtserholzeit für den antiparallel geschalteten IGBT gefährlich werden können.
Vorwärtserholzeit und Vorwärtserholspannung
Hochspannungsdioden bestehen im einfachsten Fall aus einer Schichtfolge p+-n--n+. Die Mittelzone ist dabei räumlich deutlich ausgedehnter und oft nur schwach dotiert. Bei der sogenannten Punch-Through-Variante (PT) sind die Weite des Mittelfeldes sowie seine Dotierung so eingestellt, dass die Feldstärke bis zum Erreichen des n+-Gebietes nur teilweise abgebaut wird. Sie geht erst dort auf Null zurück, darf aber niemals über den Rand hinaus reichen. Um eine solche Diode vom sperrenden in den leitenden Zustand zu versetzen, muss zunächst das Elektronen-Loch-Plasma in der Mittelzone aufgebaut werden.
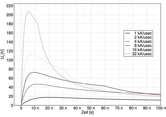
Dies geschieht durch Injektion von Elektronen und Löchern aus den angrenzenden n+- und p+-Zonen. Dieser Vorgang besitzt allerdings eine gewisse Trägheit, was nichts anderes bedeutet, dass sich längs der Mittelzone eine hohe Vorwärtserholspannung (engl.forward recovery, Ufr) aufbaut, wenn ein Strom in die Diode eingeprägt wird. Dies geschieht typischerweise bei induktiven Lasten. Die Höhe dieser Spannung ist von der Spannungsklasse der Diode sowie deren Technologie abhängig. Mit höheren Spannungsklassen ist die Mittelzone ausgedehnter und verlangsamt deshalb den Prozess der Plasmaausbildung erheblich.

Zwei Schwachstellen für den Rückwärtsbetrieb
Bei negativer Kollektor-Emitter-Spannung sperrt der pn-Übergang zwischen dem p+-Substrat und dem n-Puffer und verhindert so einen Stromfluss. Allerdings sind IGBTs im Regelfall nicht für den Rückwärtsbetrieb optimiert, sodass die Sperrfähigkeit dieses pn-Übergangs sehr gering ist und schon bei einigen 10 V durchbricht. In diesem Fall wird der IGBT aufgrund des emitterseitigen pn-Übergangs mit Elektronen-Loch-Plasma gefüllt und erreicht einen unkontrollierten Zustand. Dieser Vorgang ist ebenfalls, wie bei der Diode, nur endlich schnell und abhängig von der Zeit, die die Ladungsträger benötigen, um sich in der schwach dotierten n--Zone zu verteilen.
Beim IGBT gilt es eine weitere Besonderheit zu beachten. Dies betrifft die kritische Feldverteilung an den p-Wannen aufgrund ihrer endlichen Krümmung, insbesondere zum Rande des Chips hin. Hier entsteht im Betrieb eine lokale Feldstärkeüberhöhung die zu einem sogenannten lateralen Durchbruch führen kann, im Gegensatz zum vertikalen Durchbruch, der aufgrund des Lawineneffektes einer oder mehrerer IGBT-Zellen ausgelöst wird.

Im Rückwärtsbetrieb stellen sich die Verhältnisse indes anders dar, denn ein wirksamer Randabschluss müsste folglich an der Unterseite des Wafers dotiert werden, was in der Regel aus technischen Gründen nicht gemacht wird. Zusammengefasst sind also zwei wesentliche Schwachstellen für den Rückwärtsbetrieb auszumachen: einmal der für diesen Betriebszustand fehlende Randabschluss und zum anderen die plasmabedingte Instabilität.
Die äußeren Bedingungen des IGBTs werden demnach durch die Schalteigenschaften der antiparallelen Diode diktiert. Bei einer sich ideal verhaltenden Diode gäbe es keine Vorwärtserholzeit und damit auch keine Spannungsübererhöhung während des Einschaltens.
Reale Leistungsdioden besitzen aufgrund der schwach dotierten Mittelzone und der Notwendigkeit zunächst ein Elektronen-Loch-Plasma aufzubauen reale Verzögerungszeiten, welche durch ein von außen eingeprägtes di/dt zu Spannungsfällen führt. Nach gängiger Definition, in welcher die Zeit von dem Punkt an gerechnet wird in dem die Spannung 10% der Flussspannung Uf erreicht bis zu dem Punkt an dem die Spannung wieder auf das 1,1-fache von Uf abgesunken ist, beträgt diese Vorwärtserholzeit tfr je nach verwendeter Diode bis zu einigen 100 ns.
(ID:36093520)