EP Basics Quiz

Prof. Poppe fragt nach – Folge 14

< zurück

Seite: 2/2

Anbieter zum Thema

„ransportieren elektromagnetische Wellen noch etwas anderes als Energie?“

Auflösung

Die erste Antwort (Ja) ist richtig! Elektromagnetische Wellen haben einen Impuls, und jedes Photon hat einen Drehimpuls.

Erste Vermutungen in dieser Richtung gehen auf die Frühzeit der Quantenmechanik zurück. Luis De Broglie postulierte Materiewellen der Wellenlänge λ für ein Elektron mit dem Impuls p als

0124129969v1 (Bild: VCG)

Interessanter Weise taucht hier die Masse des Elektrons nicht auf. Mittlerweile ist bekannt, dass die Formel auch für die Quanten des elektromagnetischen Feldes gilt.

Am besten lässt sich der Impuls elektromagnetischer Wellen bei sehr kurzen Wellenlängen, also dann, wenn der Teilchencharakter hervortritt, beobachten. Wenn hochenergetische Photonen auf einen Atomkerntreffen, verwandeln sie sich bisweilen in ein Elektron-Positron Paar. Bild 1 zeigt, dass dieses sich anfangs mit großer Geschwindigkeit in der Richtung des ursprünglichen Photons bewegen. Der hierfür notwendige Impuls kann nur vom Photon kommen. Und so ist jede der unzähligen Blasenkammeraufnahmen in denen dies beobachtet wurde ein Beweis für den Impulstransfer durch elektromagnetische Strahlung.

Bild 1: Beobachtung der Paarerzeugung durch ein Photon in einer Blasenkammer. Am Punkt A wird es erzeugt und verwandelt sich beim Kontakt mit einem Atomkern am Punkt B in ein Elektron-Positron Paar. Der Photonenimpuls schlägt sich in der Anfangsgeschwindigkeit der beiden Teilchen nieder. (Bild:  CERN)
Bild 1: Beobachtung der Paarerzeugung durch ein Photon in einer Blasenkammer. Am Punkt A wird es erzeugt und verwandelt sich beim Kontakt mit einem Atomkern am Punkt B in ein Elektron-Positron Paar. Der Photonenimpuls schlägt sich in der Anfangsgeschwindigkeit der beiden Teilchen nieder.
(Bild: CERN)

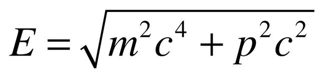
Im Alltag spielt der Impuls elektromagnetischer Wellen kaum eine Rolle. Nach der Relativitätstheorie beträgt die Gesamtenergie E eines Teilchens

0124129968v1 (Bild: VCG)

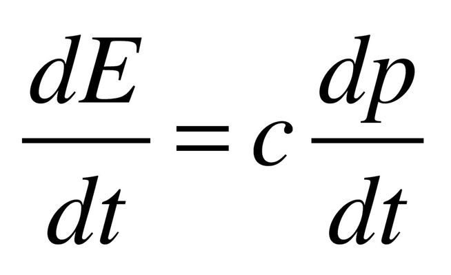
Hieraus kann man mittels

0124129967v1 (Bild: VCG)

auf die Kraft schließen, mit der zum Beispiel ein 10 kW Strahler nach hinten gedrückt wird. Es sind 3,3·10-5 N. Ein anderes Beispiel: Ein 500 kg schweres Auto, ausgerüstet mit einem 100 kW Strahler als Triebwerk bräuchte ca. ein Jahr und vier Monate um 100 km/h zu erreichen – kein Verkaufsargument! Und außerdem wäre der Hintermann geblendet…

Der Nachweis des Drehimpulses elektromagnetischer Strahlungen ist deutlich schwieriger. Er ergibt sich durch die Betrachtung atomarer Übergänge, bei denen sich der Drehimpuls des Atoms ändert.

Haben Sie die Antwort gewusst, oder haben Sie etwas dazugelernt?  (mr)

* Bis 2022 lehrte Prof. Martin Poppe Elektrotechnik an der Fachhochschule Münster. Er ist renommierter Autor von Fachbüchern wie „Prüfungstrainer Elektrotechnik“ (ISBN 978-3-662-65001-1), aus dem die aktuelle Frage entnommen ist, oder „Grundkurs Theoretische Elektrotechnik“ (ISBN 978-3-662-61913-1).

(ID:50386030)

Jetzt Newsletter abonnieren

Verpassen Sie nicht unsere besten Inhalte

Mit Klick auf „Newsletter abonnieren“ erkläre ich mich mit der Verarbeitung und Nutzung meiner Daten gemäß Einwilligungserklärung (bitte aufklappen für Details) einverstanden und akzeptiere die Nutzungsbedingungen. Weitere Informationen finde ich in unserer Datenschutzerklärung. Die Einwilligungserklärung bezieht sich u. a. auf die Zusendung von redaktionellen Newslettern per E-Mail und auf den Datenabgleich zu Marketingzwecken mit ausgewählten Werbepartnern (z. B. LinkedIn, Google, Meta).

Aufklappen für Details zu Ihrer Einwilligung