TDK

Alles für kapazitive Stromversorgungen aus einer Hand

< zurück

Seite: 2/3

Anbieter zum Thema

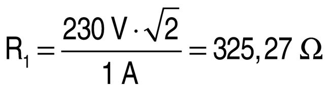
Widerstand zur Begrenzung des Diodenstroms

Zur Funktion der Zenerdiode: Während der positiven Halbwelle arbeitet D1 als spannungsbegrenzendes Bauelement. Um die geforderte Ausgangsspannung von 9 V zu erreichen, müsste die Zenerspannung bei 9,7 V liegen, weil an D2 rund 0,7 V abfallen. Da Zenerdioden mit diesem Wert aber nicht verfügbar sind, wird eine Diode mit einem Wert von 10 V mit einer maximalen Verlustleitung von 1,3 W gewählt. Wird die Stromversorgung im Scheitelpunkt der Netzspannung eingeschaltet, würde ein unzulässig hoher Strom durch D1 fließen, was deren Zerstörung zur Folge hätte. Zur Strombegrenzung ist daher R1 vorgeschaltet. Zenerdioden mit einer Verlustleistung von 1,3 W können in der Regel kurzfristige Ströme von etwa 1 A bewältigen. Somit kann der Wert von R1 berechnet werden:

(Formel 1) (Bild: )
(Formel 1)

Bildergalerie
Bildergalerie mit 5 Bildern

Der nächstgelegene Normwert sind 330 Ω. R1 wird im Betrieb ständig mit dem gesamten Laststrom beaufschlagt. Zu dessen Berechnung muss das Verhältnis von Wechselstrom-Effektivwert und Gleichstrom-Mittelwert berücksichtigt werden. Da es sich um eine einpulsige Gleichrichtung handelt, liegt der Formfaktor bei 2,22. Mit den geforderten 15 mA Ausgangsstrom ergibt sich somit ein Strom durch R1 von 33,3 mA und in der Folge eine Verlustleistung von:

(Formel 2) (Bild: )
(Formel 2)

Gewählt wird ein Widerstand mit einer Belastbarkeit von 0,5 W. Der Spannungsabfall über dem Widerstand beträgt knapp 11 V.

Berechnen des erforderlichen Blindwiderstands von C1

Aus den bisher ermittelten Daten kann nun der erforderliche Blindwiderstand des Kondensators C1 berechnet werden. Um eine sichere Versorgung der Last auch bei Unterspannung sicherzustellen, sollte die Berechnung mit einem Spannungsabfall der Netzspannung von mindestens 10% durchgeführt werden, außerdem ist der Spannungsabfall über R1 und D1 zu berücksichtigen. Somit ergibt sich der Blindwiderstand zu:

(Formel 3) (Bild: )
(Formel 3)

Daraus lässt sich bei der üblichen Netzfrequenz von 50 Hz die erforderliche Kapazität berechnen:

(Formel 4) (Bild: )
(Formel 4)

Als nächster Normwert ergibt sich folglich eine Kapazität von 0,68 µF. Abhängig von den klimatischen Rahmenbedingungen eignet sich dafür zum Beispiel der EPCOS-X2-Kondensatortyptyp B32933A3684K* aus der Heavy-Duty-Serie. Er hat ein Rastermaß von 22,5 mm und ist für eine Effektivspannung von 305 VAC bei einer höchst zulässigen Betriebstemperatur von 105 °C ausgelegt. Alternativ eignet sich Typ B32923H3684K*, der sogar für 110 °C ausgelegt ist, ebenfalls im Rastermaß 22,5 mm. Beide Typen weisen eine Kapazitätstoleranz von ±10% auf.

Für die Diode D2, die für die einpulsige Gleichrichtung sorgt, genügt der kostengünstige Standardtyp 1N4001 (50 V, 1 A). Diese Diode wird von etlichen Halbleiterherstellern angeboten.

Artikelfiles und Artikellinks

(ID:43695473)

Jetzt Newsletter abonnieren

Verpassen Sie nicht unsere besten Inhalte

Mit Klick auf „Newsletter abonnieren“ erkläre ich mich mit der Verarbeitung und Nutzung meiner Daten gemäß Einwilligungserklärung (bitte aufklappen für Details) einverstanden und akzeptiere die Nutzungsbedingungen. Weitere Informationen finde ich in unserer Datenschutzerklärung. Die Einwilligungserklärung bezieht sich u. a. auf die Zusendung von redaktionellen Newslettern per E-Mail und auf den Datenabgleich zu Marketingzwecken mit ausgewählten Werbepartnern (z. B. LinkedIn, Google, Meta).

Aufklappen für Details zu Ihrer Einwilligung